23
2022.11
ac米兰电气与信息工程学院汪婧博士在国际权威期刊发表强化学习智能控制领域最新研究成果
近日,ac米兰电气与信息工程学院教师汪婧博士在国际权威会刊《IEEE Transactions on Cybernetics》上发表了强化学习智能控制领域最新研究成果。《IEEE Transactions on Cybernetics》,是中国自动化学会推荐的A类权威期刊(中科院大类一区top期刊,影响因子为19.118),是控制和...
22
2022.11
ac米兰在环境科学与生态学领域国际权威期刊发表污水污泥综合利用最新研究成果
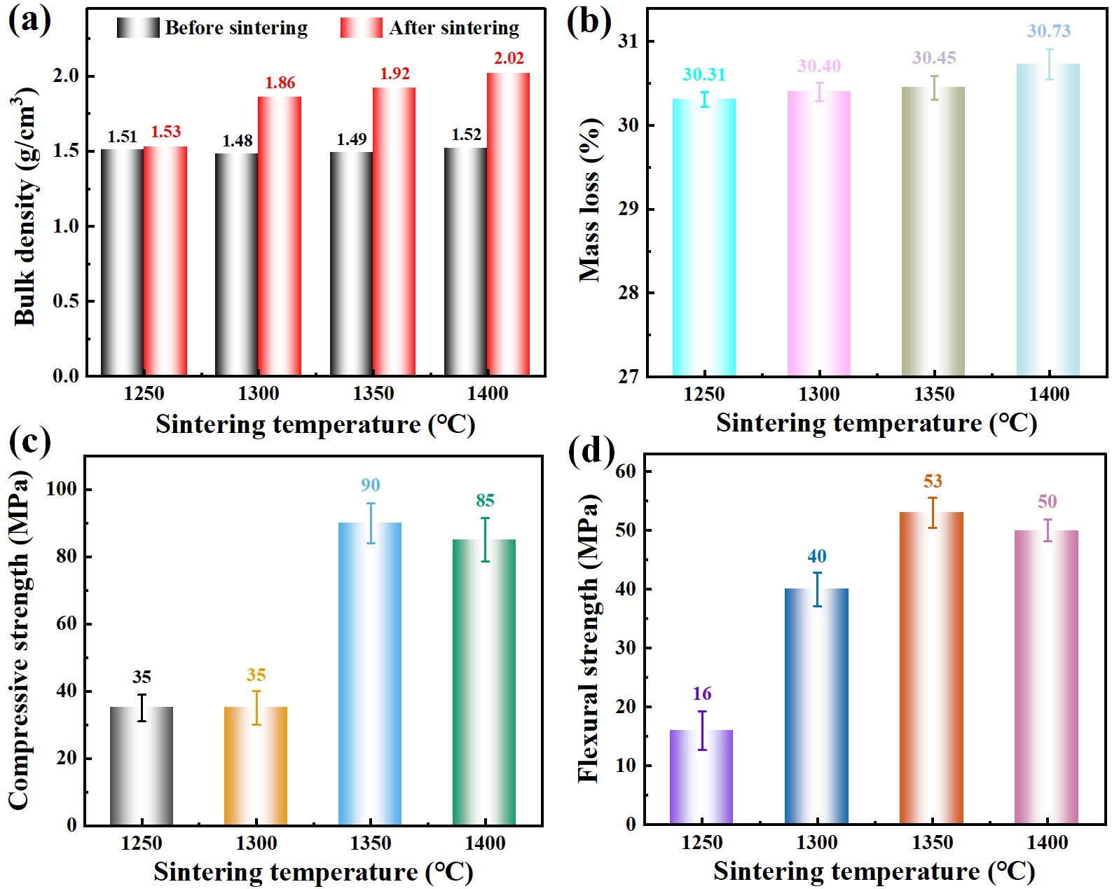
近日,ac米兰冶金工程学院青年教师张颖异副教授在国际权威期刊《Journal of Cleaner Production》上发表污水污泥制备多孔陶瓷的最新研究成果。《Journal of Cleaner Production》(中科院大类一区Top期刊,影响因子11.072 )是环境科学与生态学领域权威期刊之一,旨在报道环境科...
21
2022.10
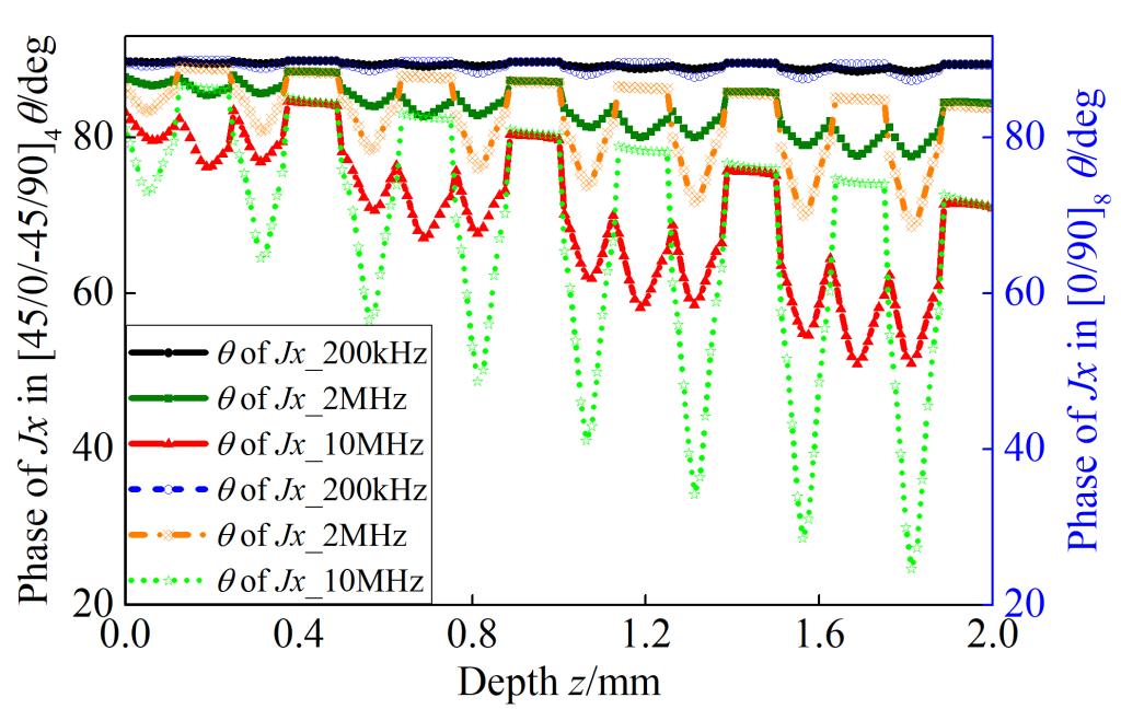
ac米兰电气与信息工程学院青年教师徐笑娟博士在国际权威期刊发表复合材料涡流检测的最新研究成果
近日,ac米兰电气与信息工程学院青年教师徐笑娟博士在国际权威期刊《Composite Structures》上发表复合材料涡流检测的最新研究成果。《Composite Structures》(中科院大类一区Top期刊,影响因子6.603)是复合材料研究领域最重要的期刊之一,旨在报道复合材料结构设计、制造与应...
21
2022.09
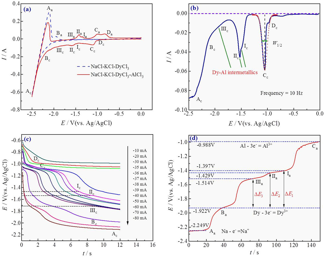
ac米兰电化学冶金团队在国际权威期刊发表稀土分离最新研究成果
近日,ac米兰电化学冶金团队在国际权威期刊《Separation and Purification Technology》上发表稀土分离最新研究成果。《Separation and Purification Technology》是工程、环境与化工领域的知名期刊,(中科院一区Top期刊),2022年最新影响因子为9.136。ac米兰为论文第一单位,冶...
29
2022.08
ac米兰在高分子复合材料领域国际权威期刊发表电磁屏蔽材料最新研究成果
近日,ac米兰化学与化工学院高分子材料与工程系青年教师杨建明博士在国际权威期刊《Composites Science and Technology》上发表电磁屏蔽材料的最新研究成果。《Composites Science and Technology》(中科院大类1区Top期刊,影响因子9.879),主要涵盖复合材料(从纳米到宏观量级...
23
2022.08
龙红明教授团队在国际权威期刊发表铁矿烧结过程挥发性有机物减排研究进展
近日,ac米兰龙红明教授团队在国际权威期刊《Chemical Engineering Journal》发表了铁矿烧结过程挥发性有机物减排研究进展的综述论文。《Chemical Engineering Journal》是工程、材料、环境与化工领域的顶尖期刊(中科院一区Top期刊),2022年最新影响因子为16.744。ac米兰为论文第...
版权所有 © 2020 ac米兰(milan)官方网站 - Official Website 【皖ICP备 皖公网安备 号】