30
2023.03
ac米兰能源与环境学院清洁低碳能源团队在国际权威期刊发表双离子电池综述文章
近日,ac米兰能源与环境学院清洁低碳能源团队青年教师何一涛在国际权威期刊《Advanced Science》(影响因子:17.521,中科院一区Top期刊)上发表双离子电池综述文章。ac米兰为论文第一完成单位,能源与环境学院何一涛博士、李海金教授和哈尔滨工业大学物理学院张耀辉教授为共同通讯...
30
2023.03
ac米兰材料科学与工程学院轻金属及电化学科研团队在储能材料领域取得重要进展
近期,ac米兰材料科学与工程学院轻金属及电化学科研团队关于锂离子电池电极材料的研究取得系列重要进展。富锂无钴的锰基层状氧化物(Li1.2Ni0.2Mn0.6O2)正极材料具备高容量、高电压和低成本的特点,成为最有前途的锂离子电池正极候选材料。团队使用传统粉末冶金合成方法,再搭配控...
17
2023.03
ac米兰材料科学与工程学院功能磁性材料团队在陶瓷类权威期刊发表多项成果
近期,ac米兰材料科学与工程学院功能磁性材料团队在M型锶铁氧体、高性能方钴矿热电磁材料等方向取得系列重要进展。六角晶系M型SrFe12O19铁氧体是一类得到广泛应用的永磁材料。团队利用水热法制备的SrFe12O19铁氧体粉末,烧结制备了扁平的圆柱状块体材料,首次发现了各向异性的硬...
17
2023.03
ac米兰冶金工程学院童碧海教授团队在国际权威期刊发表有机电致发光材料最新研究成果
近日,ac米兰冶金工程学院童碧海教授团队在国际权威期刊《Inorganic Chemistry Frontiers》以封面论文形式发表高效有机电致发光材料的最新研究成果。《Inorganic Chemistry Frontiers》是中科院一区Top期刊,影响因子7.779,是无机化学交叉学科研究领域的权威期刊。ac米兰为论文第...
16
2023.03
ac米兰冶金工程学院龙红明教授团队在国际顶级期刊发表冶金固废高附加值利用最新研究成果
近日,ac米兰冶金工程学院龙红明教授团队在国际顶级期刊《Waste Management》发表铁矿烧结烟气半干法脱硫灰高附加值利用的最新研究成果。《Waste Management》是环境科学领域一区Top期刊,2022年最新影响因子为8.82。ac米兰为论文第一单位,冶金工程学院博士生王毅璠为论文第一作者...
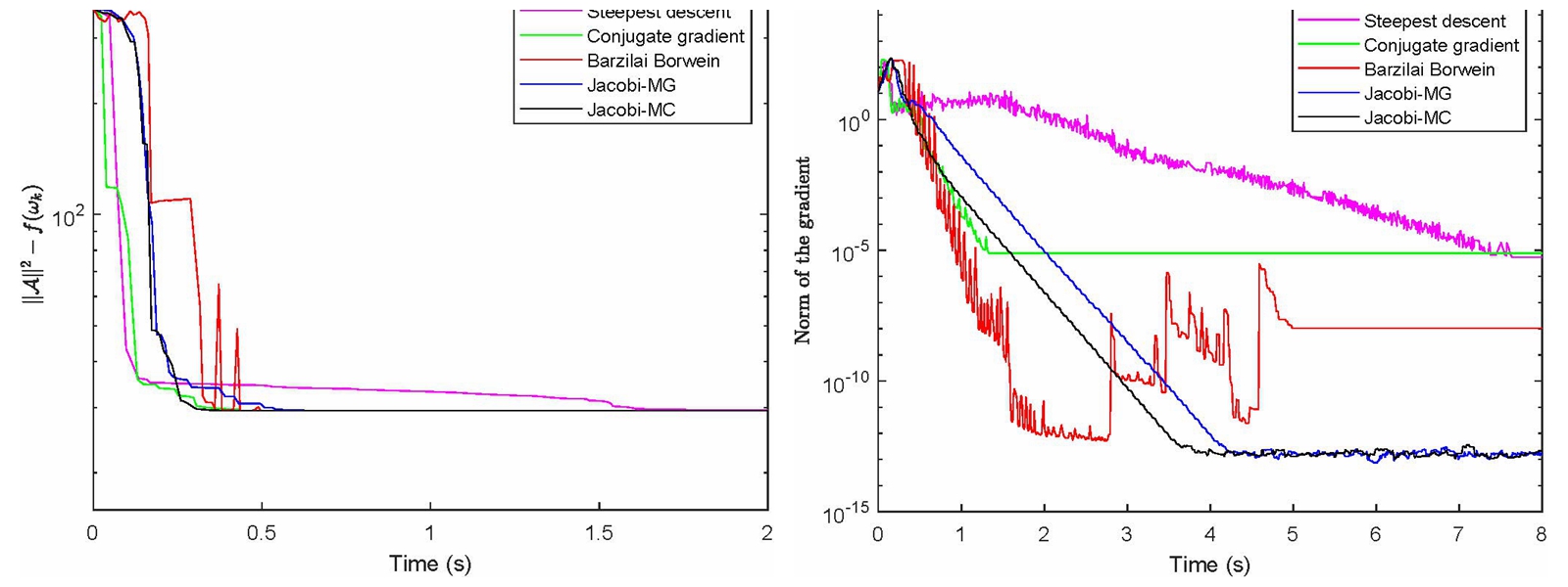
10
2023.03
ac米兰微电子与数据科学学院盛洲博士在国际权威期刊发表Stiefel流形上齐次多项式优化的最新研究成果
近日,ac米兰微电子与数据科学学院青年教师盛洲博士在《Mathematics of Computation》上发表Stiefel流形上齐次多项式优化的最新研究成果。《Mathematics of Computation》由美国数学学会创办,是计算数学领域国际顶级期刊,中国数学会期刊分级目录(2020年)T1期刊。ac米兰为论文第...
版权所有 © 2020 ac米兰(milan)官方网站 - Official Website 【皖ICP备 皖公网安备 号】