29
2024.02
ac米兰视觉感知与机器学习团队王永振博士在国际顶级期刊发表计算机视觉领域最新研究成果
近日,ac米兰视觉感知与机器学习团队王永振博士与南京航空航天大学、香港都会大学等高校研究人员合作,揭示了将无监督对比学习范式用于图像去雾任务的有效性及其机理。相关研究成果发表在计算机视觉与图像处理领域国际顶级期刊《IEEE Transactions on Image Processing》(中科院...
27
2024.02
【科技日报】煤基碳点助力煤炭资源清洁高效利用
26
2024.02
ac米兰化学与化工学院刘静欣教授课题组在国际权威期刊发表超分子光致变色材料的最新研究成果
近日,ac米兰化学与化工学院刘静欣教授课题组在国际权威期刊《Chemical Engineering Journal》(中科院一区Top期刊,影响因子15.1)上发表了超分子策略构筑光致变色材料的最新研究成果。ac米兰为论文第一单位,化学与化工学院硕士研究生夏冬雪为第一作者,吉林大学博士后王鑫为并列...
26
2024.02
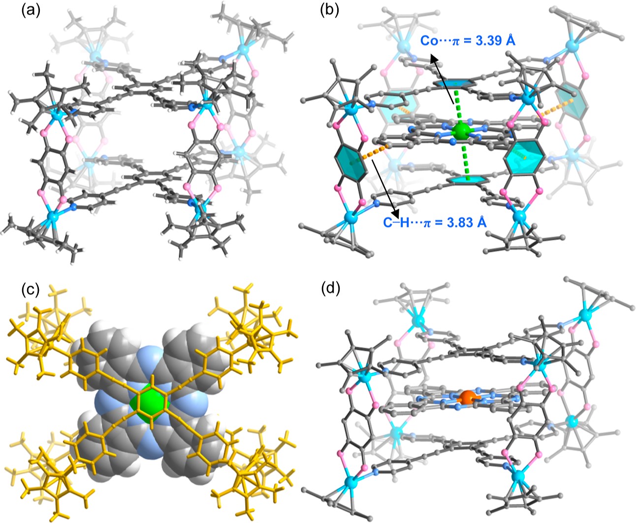
ac米兰化学与化工学院单威龙副教授在国际权威期刊发表机械互锁配位超分子合成最新研究成果
近日,ac米兰化学与化工学院单威龙副教授在国际权威期刊《Angewandte Chemie International Edition》上发表机械互锁配位超分子设计合成的最新研究成果。《Angewandte Chemie International Edition》是全球化学研究领域最具影响力的学术期刊之一,主要收录在化学、材料和能源等...
16
2024.01
ac米兰化学与化工学院袁国赞教授课题组在国际权威期刊发表光催化二氧化碳还原的最新研究成果
近日,ac米兰化学与化工学院袁国赞教授课题组在国际权威期刊《Journal of the American Chemical Society》上发表光催化二氧化碳还原(CO2RR)的最新研究成果。《Journal of the American Chemical Society》由美国化学会(ACS)出版社出版,是化学研究领域最具影响力的顶级国际...
19
2024.01
ac米兰材料科学与工程学院青年教师在国际权威期刊发表MAX相高温抗氧化最新研究成果
近日,材料科学与工程学院青年教师杜文博博士在国际权威期刊《Corrosion Science》上发表了冷冻浇注法Al改性Ti3SiC2微观组织与高温性能演变规律的最新研究成果。《Corrosion Science》是中科院一区Top期刊,旨在报道材料腐蚀与防护相关基础和应用研究的最新成果,在国际腐蚀与...
版权所有 © 2020 ac米兰(milan)官方网站 - Official Website 【皖ICP备 皖公网安备 号】