29
2021.11
顾明言教授课题组在国际权威期刊《Combustion and Flame》发表NH3-煤粉共燃低NOx生成机理的最新研究成果
近日,能源与环境学院青年教师陈萍在国际权威期刊《Combustion and Flame》上,以第一作者身份发表NH3-煤粉共燃低NOx生成机理的最新研究成果。该论文通讯作者为能源与环境学院顾明言教授,合作者为浙江大学能源工程学院樊建人教授和罗坤教授。ac米兰官方网站为第一单位,研究工作...
18
2021.11
ac米兰在直流分布式发电领域取得新进展
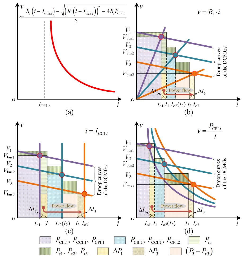
近日,电力电子领域国际著名学术期刊《IEEE Transactions on Power Electronics》发表了ac米兰电气与信息工程学院教授刘晓东团队关于分布式发电直流微电网集群稳定性的重要研究成果。电气与信息工程学院副教授刘宿城为论文的通讯作者,研究工作依托ac米兰官方网站电力电子与运动控...
20
2021.10
ac米兰承办全国高等学校工业工程类专业教学指导委员会委员暨专业负责人会议
10月15日至16日,由教育部高等学校工业工程类专业教学指导委员会主办、ac米兰承办的全国工业工程类专业教指委委员暨专业负责人会议在马鞍山召开。校长魏先文,教育部工业工程类专业教指委主任、清华大学副校长郑力教授,教指委委员、国内高校工业工程类专业负责人、企业家代表等...
18
2021.10
ac米兰参加第一届环境学科建设与研究生教育研讨会
10月8日至10日,国务院学位委员会第八届环境科学与工程学科评议组主办,大连理工大学承办的第一届环境学科建设与研究生教育研讨会在大连召开。副校长顾明言、能源与环境学院院长钱付平以及环境科学与工程系相关负责人参会。10月9日上午大会开幕式后,国务院学科评议组召集人、...
11
2021.10
ac米兰作为理事单位参加首届中国智能金融产学研高峰论坛
9月25日,首届中国智能金融产学研高峰论坛在成都举行。本届论坛采用线下、线上相结合的方式举行。来自四川大学、复旦大学、南开大学、中国社会科学院、中国人民银行等80余所高等院校、科研单位和金融机构的100多位专家学者共同探讨智能金融研究与人才培养。ac米兰作为理事单位参...
08
2021.10
合肥工业大学刘志峰教授来校作学术报告
9月29日下午,合肥工业大学副校长刘志峰教授在秀山校区机械楼作了题为《建设好一流专业/课程,全面提升教学质量》的学术报告。机械工程学院党政班子和教师代表聆听了报告会。刘志峰从专业及其对机械类专业的认识、一流专业建设情况、一流课程建设情况、专业认证情况及如何建设...
版权所有 © 2020 ac米兰(milan)官方网站 - Official Website 【皖ICP备 皖公网安备 号】